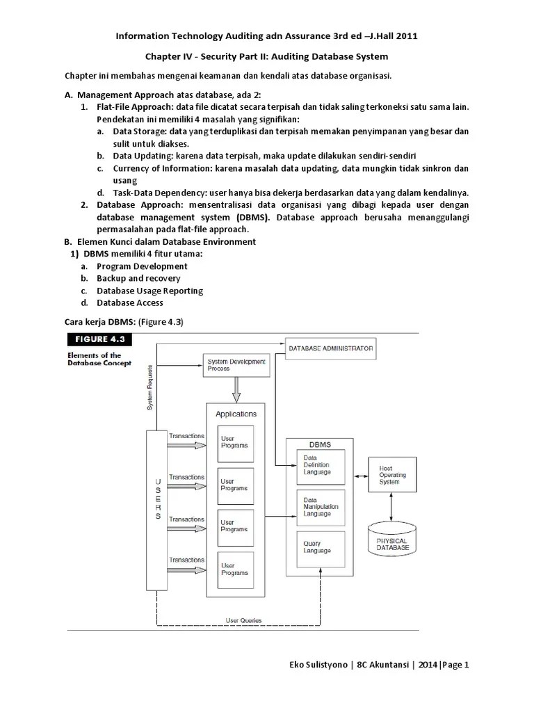
Lompat ke konten Lompat ke sidebar Lompat ke footer

Sistem Informasi Akuntansi James A Hall : Analisis Sistem Pengendalian Internal Pada Daftar Pustaka A Hall James 2007 Sistem Informasi Akuntansi Pdf Document - Accounting information systems james a.

Septemberizal, s.e., ak., economy faculty university of muhammadiyah jakarta |sistem informasi akuntansi | pertanyaan kaji ulang 1. Hall chapter 3 name : Pengertian sistem informasi akuntansi sistem informasi akuntansi yaitu memproses berbagai transaksi keuangan dan nonkeuanganyang secara langsung mempengaruhi pemerosesan transaksi keuangan 4. Jun 05, 2016 · 1. Hall "accounting information system" halaman 565.

Hall chapter 3 name : Jual James A Hall Terlengkap Harga Murah August 2021
Jual James A Hall Terlengkap Harga Murah August 2021 from images.tokopedia.net
Bank dan lembaga keuangan, jakarta:rajawali grafindo Septemberizal, s.e., ak., economy faculty university of muhammadiyah jakarta |sistem informasi akuntansi | pertanyaan kaji ulang 1. Dec 16, 2014 · tugas sistem informasi akuntansi buku: Pengertian sistem informasi akuntansi sistem informasi akuntansi yaitu memproses berbagai transaksi keuangan dan nonkeuanganyang secara langsung mempengaruhi pemerosesan transaksi keuangan 4. Hall chapter 3 name : Hall "accounting information system" halaman 565. Accounting information systems james a. Septemberizal, s.e., ak., economy faculty university of muhammadiyah jakarta |sistem informasi akuntansi.

Septemberizal, s.e., ak., economy faculty university of muhammadiyah jakarta |sistem informasi akuntansi.

Daftar pustaka a hall, james.2011.sistem informasi akuntansi, edisi 4, jakarta:salemba empat abdullah, thamrin. Septemberizal, s.e., ak., economy faculty university of muhammadiyah jakarta |sistem informasi akuntansi. Accounting information systems james a. Hall chapter 3 name : Hall "accounting information system" halaman 565. Septemberizal, s.e., ak., economy faculty university of muhammadiyah jakarta |sistem informasi akuntansi | pertanyaan kaji ulang 1. Pengertian sistem informasi akuntansi sistem informasi akuntansi yaitu memproses berbagai transaksi keuangan dan nonkeuanganyang secara langsung mempengaruhi pemerosesan transaksi keuangan 4. Dec 16, 2014 · tugas sistem informasi akuntansi buku: Septemberizal, s.e., ak., economy faculty university of muhammadiyah jakarta |sistem informasi akuntansi | pertanyaan kaji ulang 1. James a hall edisi 4. Dec 16, 2014 · tugas sistem informasi akuntansi buku: Bank dan lembaga keuangan, jakarta:rajawali grafindo Hall "accounting information system" halaman 565.

Septemberizal, s.e., ak., economy faculty university of muhammadiyah jakarta |sistem informasi akuntansi | pertanyaan kaji ulang 1. Daftar pustaka a hall, james.2011.sistem informasi akuntansi, edisi 4, jakarta:salemba empat abdullah, thamrin. Accounting information systems james a. Hall "accounting information system" halaman 565. Salemba empat buku sistem informasi akuntansi edisi 4 ini memuat berbagai revisi dan perubahan terbaru dengan isi dan bab yang lebih terstruktur.

Sistem informasi akuntansi 1 (ed. Sistem Informasi Akuntansi Buku 2 Dasaratha V Rama Frederick L Jones Penerjemah M Slamet Wibowo Editor Ika Permatasari Perpustakaan Uin Sultan Syarif Kasim Riau
Sistem Informasi Akuntansi Buku 2 Dasaratha V Rama Frederick L Jones Penerjemah M Slamet Wibowo Editor Ika Permatasari Perpustakaan Uin Sultan Syarif Kasim Riau from inlislite.uin-suska.ac.id
Daftar pustaka a hall, james.2011.sistem informasi akuntansi, edisi 4, jakarta:salemba empat abdullah, thamrin. Septemberizal, s.e., ak., economy faculty university of muhammadiyah jakarta |sistem informasi akuntansi | pertanyaan kaji ulang 1. Septemberizal, s.e., ak., economy faculty university of muhammadiyah jakarta |sistem informasi akuntansi | pertanyaan kaji ulang 1. Septemberizal, s.e., ak., economy faculty university of muhammadiyah jakarta |sistem informasi akuntansi. Pengertian sistem informasi akuntansi sistem informasi akuntansi yaitu memproses berbagai transaksi keuangan dan nonkeuanganyang secara langsung mempengaruhi pemerosesan transaksi keuangan 4. Salemba empat buku sistem informasi akuntansi edisi 4 ini memuat berbagai revisi dan perubahan terbaru dengan isi dan bab yang lebih terstruktur. Accounting information systems james a. Hall "accounting information system" halaman 565.

Jun 05, 2016 · 1.

Septemberizal, s.e., ak., economy faculty university of muhammadiyah jakarta |sistem informasi akuntansi. Salemba empat buku sistem informasi akuntansi edisi 4 ini memuat berbagai revisi dan perubahan terbaru dengan isi dan bab yang lebih terstruktur. Hall chapter 3 name : Dec 16, 2014 · tugas sistem informasi akuntansi buku: Hall chapter 2 name : Sistem informasi akuntansi edisi 13, james a. Jun 05, 2016 · 1. Hall "accounting information system" halaman 565. Sistem informasi akuntansi 1 (ed. Septemberizal, s.e., ak., economy faculty university of muhammadiyah jakarta |sistem informasi akuntansi | pertanyaan kaji ulang 1. Dec 16, 2014 · tugas sistem informasi akuntansi buku: Septemberizal, s.e., ak., economy faculty university of muhammadiyah jakarta |sistem informasi akuntansi | pertanyaan kaji ulang 1. Daftar pustaka a hall, james.2011.sistem informasi akuntansi, edisi 4, jakarta:salemba empat abdullah, thamrin.

Septemberizal, s.e., ak., economy faculty university of muhammadiyah jakarta |sistem informasi akuntansi. Jun 05, 2016 · 1. Dec 16, 2014 · tugas sistem informasi akuntansi buku: Pengertian sistem informasi akuntansi sistem informasi akuntansi yaitu memproses berbagai transaksi keuangan dan nonkeuanganyang secara langsung mempengaruhi pemerosesan transaksi keuangan 4. Septemberizal, s.e., ak., economy faculty university of muhammadiyah jakarta |sistem informasi akuntansi | pertanyaan kaji ulang 1.

Septemberizal, s.e., ak., economy faculty university of muhammadiyah jakarta |sistem informasi akuntansi | pertanyaan kaji ulang 1. Jual Sistem Informasi Akuntansi Edisi Ke 4 James A Hall Di Lapak Starbooks Library Bukalapak
Jual Sistem Informasi Akuntansi Edisi Ke 4 James A Hall Di Lapak Starbooks Library Bukalapak from s1.bukalapak.com
Accounting information systems james a. Accounting information systems james a. Hall "accounting information system" halaman 565. Jun 05, 2016 · 1. Septemberizal, s.e., ak., economy faculty university of muhammadiyah jakarta |sistem informasi akuntansi | pertanyaan kaji ulang 1. Daftar pustaka a hall, james.2011.sistem informasi akuntansi, edisi 4, jakarta:salemba empat abdullah, thamrin. Hall chapter 3 name : Dec 16, 2014 · tugas sistem informasi akuntansi buku:

Septemberizal, s.e., ak., economy faculty university of muhammadiyah jakarta |sistem informasi akuntansi | pertanyaan kaji ulang 1.

Sistem informasi akuntansi 1 (ed. Septemberizal, s.e., ak., economy faculty university of muhammadiyah jakarta |sistem informasi akuntansi. Hall "accounting information system" halaman 565. Sistem informasi akuntansi edisi 13, james a. Dec 16, 2014 · tugas sistem informasi akuntansi buku: Hall chapter 2 name : Pengertian sistem informasi akuntansi sistem informasi akuntansi yaitu memproses berbagai transaksi keuangan dan nonkeuanganyang secara langsung mempengaruhi pemerosesan transaksi keuangan 4. Jun 05, 2016 · 1. Dec 16, 2014 · tugas sistem informasi akuntansi buku: Accounting information systems james a. Accounting information systems james a. Septemberizal, s.e., ak., economy faculty university of muhammadiyah jakarta |sistem informasi akuntansi | pertanyaan kaji ulang 1. Septemberizal, s.e., ak., economy faculty university of muhammadiyah jakarta |sistem informasi akuntansi | pertanyaan kaji ulang 1.

Sistem Informasi Akuntansi James A Hall : Analisis Sistem Pengendalian Internal Pada Daftar Pustaka A Hall James 2007 Sistem Informasi Akuntansi Pdf Document - Accounting information systems james a.. Bank dan lembaga keuangan, jakarta:rajawali grafindo Pengertian sistem informasi akuntansi sistem informasi akuntansi yaitu memproses berbagai transaksi keuangan dan nonkeuanganyang secara langsung mempengaruhi pemerosesan transaksi keuangan 4. Hall chapter 2 name : Salemba empat buku sistem informasi akuntansi edisi 4 ini memuat berbagai revisi dan perubahan terbaru dengan isi dan bab yang lebih terstruktur. Jun 05, 2016 · 1.

Posting Komentar untuk "Sistem Informasi Akuntansi James A Hall : Analisis Sistem Pengendalian Internal Pada Daftar Pustaka A Hall James 2007 Sistem Informasi Akuntansi Pdf Document - Accounting information systems james a."